1. 시계열의 정의
1) 시계열이란?
시간에 따라서 관측된 자료를 말한다.
관측 시점과 관측시점 사이의 시차간격이 중요하다
$Y_t$ : t=1, 2, 3, ...
시간 t를 하첨자로 표현한다.
2) 횡단면 데이터
3) 시계열의 예
- 경제 시계열 : 국내총생산(GDP), 소비자 물가지수 등
- 물리 시계열 : 일일 강수량, 기온, 지짂 발생 건수 등
- 경영 시계열 : 상품의 판매량, 매출액
- 인구 시계열 : 총인구, 농가수
- 통신공학 시계열 : (0,1)-확률과정
- 사회 시계열 : 교통사고 건수, 범죄발생 수
2. 시계열 도표
시간의 경과에 따라 시계열 값이 변하는 것을 그림으로 나타낸 것이다.
직관적으로 시계열 자료가 가지는 특징을 파악할 수 있다.
ex) 1인당 국민소득
3. 시계열의 변동요인
1) 시계열의 정보
시계열은 시간에 따라 전개되는 시간 영역(time domain) 정보, 주기적으로 반복되는 주파수 영역(frequnecy domain)정보를 가진다.
2) 변동주기
- 추세변동
10년 이상 주기 ex) 인구변화, 기술변화 등 - 순환변동
2년~5년 주기 ex) 경기순환 등 - 계절변동
1년주기 ex) 계절변화, 요일구성변동 등 - 불규칙변동
주기 불분명 ex) 파업, 태풍 등
3) 시계열의 변동요인
- 승법모형

- 가법모형

- 로그가법모형

4) 시계열의 예
시계열도표를 통해서 변동요인을 눈으로 파악한다.
GDP
4. 변수변환과 달력조정
1) 변수 변환
로그함수를 이용해서 시계열을 선형화 하고 변동성을 일정하게 만든다.
2) 달력조정
- 시계열의 요일구성 등 월의 길이차이를 조정한다.

- 28일부터 31일까지의 월 길이를 조정

ex) 한국 산업생산지수와 조업일수가 조정된 산업생산지수
5. 안정 시계열과 불안정 시계열
1) 안정(stationary) 시계열
시계열의 움직임이 구간이 달라져도 매 구간별로 그 평균이나 분산이 동일한 것을 말한다.
2) 불안정(nonstationary)시계열
시계열 평균 및 분산이 시간에 따라 변화하는 것을 말한다.
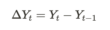
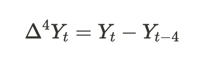
6. 차분
1) 시계열의 차분이란?
현재시점 자료에서 인접시점의 자료를 차감한다.
전기대비 증감을 파악하기 위해 사용한다.
- 1차 차분

- 계절 차분

- 차분은 추세 시계열을 추세가 없는 시계열로 전환하는 것이다.
- 시계열의 추세변동을 제거하는 장점이 있지만 단기변동을 증폭시킬 수도 있기 때문에 잘 확인해서 적절하게 사용해야 한다.
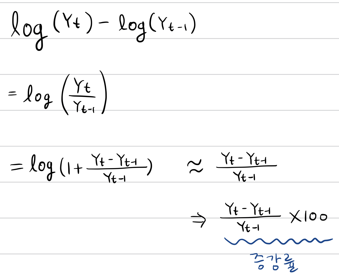
2) 시계열 증감률
시계열을 log변환한 후 차분한 것과 근사적으로 같으므로 증감률도 일종의 차분이라고 할 수 있다.

- 계절조정계열 : 전년(기) 대비 증감률 이용

- 계절변동 포함된 원계열 : 전년동기와 비교

7. 평활화
1) 평활화
시계열의 불규칙변동, 계절변동 등 주기가 짧은 변동요인으로 인해 시계열의 흐름을 제대로 파악하기가 매우 어렵다.
-> 평활화를 통해 교란요인을 제거하여 시계열의 흐름을 파악한다.
2) 이동평균
- 중심화 이동평균
단기 변동요인을 시차구조 변경없이 제거한다. 최근 시점 자료는 측정이 어렵다.

+ 불규칙변동요인 제거 : 3분기 중심화 이동평균을 이용한다.
- 3분기 중심화 이동평균
- 후방 이동평균
주가지수 등 최근 시점의 불확실성을 제거한다.
- 가중 이동평균
항마다 가중치를 다르게 적용시켜주는 가중 이동평균이다.
- 이중 이동평균
이중평균한 값을 다시 이동평균 한 것이다.
+ 이동평균항 수를 늘리면 보다 장기적인 변동을 파악할 수 있다
3) 이동평균의 예시
- 종합주가지수의 이동평균
주가 이평선이 이거다
- GDP를 중심화 한 5분기(1년) 이동평균
'Data Science > Forecasting' 카테고리의 다른 글
| [Forecasting] 부분자기상관과 시계열의 주파수 분석 (0) | 2022.04.20 |
|---|---|
| [Forecasting] 예측 데이터 분석의 기초 (15) | 2022.04.07 |
| [Forecasting] 예측이란? (4) | 2022.04.05 |
댓글