부분자기상관
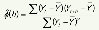
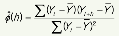
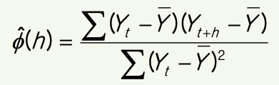
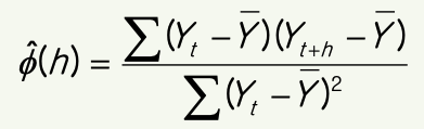
1. 표본부분자기상관계수
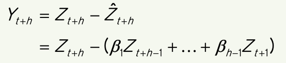
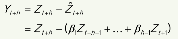
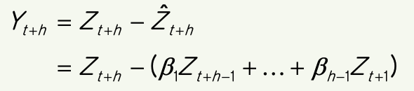
1) 시계열 $Z_{t+h}$로부터 $Z_{t+1}$, ..., $Z_{t+h-1}$의 영향력을 제거

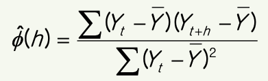
2) 시차가 h인 표본부분자기상관계수

2. 부분상관도표
x축 시차(h) , y축 표본부분자기상관계수
-> 부분자기상관계수가 유의적으로 0과 다른지 검정한다
검정을 위해서는 분포가 필요하다.
1) 백색잡음계열

2)

시계열의 주파수 분석
1. 시계열의 주파수 정보
시계열은 특정한 주기의 변동들이 모여서 만들어진다.
- 주기가 긴 시계열은 저주파 변동을 가진 시계열이다.
- 주기가 짧은 시계열은 고주파 변동을 가진 시계열이다.
2. 삼각함수
주기를 잘 대표할 수 있도록 측정하는 것이 삼각함수다.


3. 시계열의 주파수 정보
- 시계열

$f$ :주파수즉단위시간당순환의수를의미
$p$ : 주기 -> 주파수 : $f = 1/p$
반응형
'Data Science > Forecasting' 카테고리의 다른 글
| [Forecasting] 예측 데이터 분석의 기초 (15) | 2022.04.07 |
|---|---|
| [Forecasting] 예측 데이터 (3) | 2022.04.06 |
| [Forecasting] 예측이란? (4) | 2022.04.05 |
댓글